Thực hiện các phép chia trong Google Sheets khá là đơn giản. Tuy nhiên Google Sheets hỗ trợ nhiều cách để thực hiện mà không phải ai cũng biết. Dưới đây Gitiho sẽ hướng dẫn các bạn Cách sử dụng công thức chia số liệu trong Google Sheets.
Nếu bạn muốn chia hai số trong Google Sheets (hoặc hai ô có số đó), thì có một số cách để thực hiện việc này trong Google Sheets.
Ví dụ bạn muốn chia giá trị trong ô A1 với giá trị trong ô B1. Thì có thể sử dụng công thức DIVIDE dưới đây để thực hiện:
=DIVIDE(A1,B1)

Trong công thức trên, đối số đầu tiên là Dividend (số phải chia) và Divisor (số chia). Tuy nhiên nếu muốn bạn có thể chia trực tiếp các số mà không cần sử dụng các tham chiếu ô. Ví dụ bạn có thể sử dụng công thức dưới đây để thực hiện phép chia hai số:
=DIVIDE(1200,15)
Ưu điểm của việc sử dụng tham chiếu ô là kết quả công thức là động. Điều này có nghĩa là trong trường hợp thay đổi giá trị trong ô A1 hoặc B1 thì công thức sẽ tự động cập nhật kết quả mới.
Ngoài ra, hãy nhớ rằng số chia không thể là 0. Trong trường hợp số chia của bạn là 0 thì lỗi kết quả sẽ trả về là # DIV/0!
Sử dụng toán tử DIVIDE trong Google Sheets

Trong trường hợp muốn nhanh chóng chia số (thay vì tham chiếu ô), bạn cũng có thể thực hiện điều tương tự (như được hiển thị trong công thức dưới đây):
= 1200/15
Như trong công thức dưới đây theo bạn, kết quả sẽ là như thế nào?
= 1200/15 + 15
Kết quả trả về sẽ là 95.

Điều này xảy ra vì có một thứ tự ưu tiên trong Google Sheets nơi phân chia được thực hiện trước khi bổ sung. Do đó, đầu tiên nó chia 1200 cho 15 trong đó kết quả là 80. Sau đó cộng thêm 15 vào kết quả này cho bạn kết quả tổng thể là 95.
Không khó để tìm ra điều này trong ví dụ đơn giản, nhưng điều này có thể dẫn đến các vấn đề khi làm việc với các công thức phức tạp lớn.
Trong những trường hợp như vậy, tốt nhất bạn không nên lo lắng về thứ tự ưu tiên bằng cách giữ các phép tính trong ngoặc (ngoặc đơn).
Ví dụ trong trường hợp bạn muốn thực hiện phép cộng và sau đó đến phép chia thì có thể sử dụng công thức dưới đây:
= 1200/(15+15)
Điều này sẽ trả về kết quả là 40 (= 200/30)

Trong các tình huống thực tế, bạn sẽ không muốn mở Google Sheets để thực hiện các phép tính đơn giản vì có thể dễ dàng thực hiện điều đó bằng máy tính trên điện thoại thông minh hoặc với cả công cụ tìm kiếm Google đơn giản.
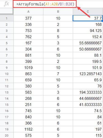
Nơi bạn có thể sử dụng Google Sheets là nhanh chóng phân chia số thành các cột và nhận kết quả cho hàng trăm ô trong một giây. Ví dụ bạn có tập dữ liệu như hình bên dưới và muốn tính toán phép chia khi giá trị trong cột A được chia cho ô tương ứng trong cột B.

Dưới đây là công thức để thực hiện:
= ArrayFormula (A1:A20/B1:B20)

Vì đây là một công thức mảng, bạn chỉ cần nhập công thức này vào ô C1 và nó sẽ cho bạn kết quả như được hiển thị ở trên. Ngoài ra, bạn không thể xóa hoặc chỉnh sửa một phần của mảng. Tuy nhiên có thể xóa toàn bộ mảng bằng cách xóa nội dung trong ô C1.
Giả sử bạn có bảng dữ liệu như hình bên dưới và muốn chia giá trị trong cột A với giá trị của cột B.

Nếu thực hiện phép chia như ở trên bạn sẽ có được phần nguyên cũng như phần thập phân. Trong trường hợp không muốn hiển thị giá trị của phần thập phân trong phép chia, bạn có thể sử dụng công thức dưới đây:
= ArrayFormula (INT(A1:A20/B1:B20))

Công thức trên sử dụng cùng một công thức chia nhưng trong đó lồng hàm INT, nó sẽ chỉ trả về phần nguyên của kết quả chứ không phải phần thập phân.
Trên đây là những cách để thực hiện các phép chia trong Google Sheets. Dựa trên việc bạn muốn chia số, ô hoặc cột, bạn có thể chọn sử dụng hàm DIVIDE hoặc toán tử chia tùy theo nhu cầu.
CÓ THỂ BẠN CŨNG QUAN TÂM
Hướng dẫn cách cố định hàng/cột trong Google Sheets
Hướng dẫn cách bảo vệ trang tính trong Google Sheets
Cách khắc phục lỗi về ô và dòng trong Google Sheets
Tham khảo thêm khóa học Google Sheets từ cơ bản tới nâng cao tại Gitiho.com để sử dụng Google Sheets hiệu quả hơn.
Gitiho đã cho ra mắt khóa học Google Sheets từ Cơ bản đến Nâng cao, công cụ thay thế Excel giúp bạn hoàn toàn có thể tự tin phân tích và xử lý dữ liệu trên Google Sheet, lập bảng biểu, báo cáo trực quan và hơn thế nữa. Bấm vào để học thử ngay!