Bạn đang muốn tính độ lệch chuẩn để đo lường sự biến động của một tập dữ liệu? Nếu bạn chưa biết làm, hãy để Gitiho hướng dẫn bạn cách tính độ lệch chuẩn trong Excel bằng hàm STDEV nhanh chóng. Cùng tìm hiểu ngay!
Độ lệch chuẩn (standard deviation) là một thước đo mức độ phân tán của dữ liệu xung quanh giá trị trung bình. Nó được sử dụng rộng rãi trong thực tế để đo lường sự biến đổi hoặc không đồng nhất trong một tập dữ liệu.
Ví dụ, nếu ta đang nói về chiều cao của một nhóm học sinh, độ lệch chuẩn sẽ cho ta biết liệu các học sinh này có chiều cao tương đồng nhau hay có sự chênh lệch lớn. Nếu độ lệch chuẩn lớn, có thể có học sinh cao hoặc thấp hơn nhiều so với giá trị trung bình.
Chúng ta có thể tính độ lệch chuẩn bằng cách lấy căn bậc hai của phương sai. Tuy nhiên trong thực tế công việc, chúng ta có thể sử dụng hàm tính độ lệch chuẩn trong Excel để thực hiện bài toán này nhanh chóng.
Công thức tính độ lệch chuẩn trong Excel bằng hàm STDEV như sau:
STDEV(number1;[number2],…)Trong đó:
number1: là đối số bắt buộc tương ứng với đối số đầu tiên của tệp mà bạn muốn tính độ lệch chuẩn.
number2: là các đối số tùy chọn. Đây là các số từ 2 đến 255 tương ứng với các mẫu trong tập dữ liệu.
Lưu ý:
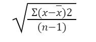
Công thức tính của hàm độ lệch chuẩn trong Excel - STDEV là:

Trong đó: x là mẫu, n là cỡ mẫu.
Nếu bạn đang học Excel và muốn nâng cao kiến thức và áp dụng vào thực tế hiệu quả nhất, hãy truy cập Gitiho.com - nơi cung cấp các khóa học Excel cho người đi làm hữu ích nhất:
Ví dụ: Yêu cầu so sánh biến động doanh thu trong 3 năm 2020, 2021, 2022 của các khóa học sau:

Ta có công thức tính độ lệch chuẩn của khóa học Tuyệt đỉnh Excel tại ô F2 như sau:
=STDEV(C2:E2)Kết quả độ lệch chuẩn doanh thu của khóa học Tuyệt đỉnh Excel tại Gitiho như sau:

Tiếp tục tính độ lệch chuẩn doanh thu của các khóa học khác bằng cách kéo và sao chép công thức xuống các ô còn lại:

Nhìn vào kết quả trên, ta thấy doanh thu của khóa học Tuyệt đỉnh Word có độ lệch chuẩn ổn định nhất, tăng đều qua các năm. Còn khóa học Tuyệt đỉnh Power Point có độ lệch chuẩn lớn nhất do doanh thu biến động mạnh qua các năm, đặc biệt năm gần nhất có xu hướng giảm nên cần chú ý hơn.
Qua bài viết trên, chúng tôi đã hướng dẫn bạn cách tính độ lệch chuẩn trong Excel nhanh và chính xác nhất. Hy vọng nó sẽ có ích cho công việc của bạn.
Khóa học phù hợp với bất kỳ ai đang muốn tìm hiểu lại Excel từ con số 0. Giáo án được Gitiho cùng giảng viên thiết kế phù hợp với công việc thực tế tại doanh nghiệp, bài tập thực hành xuyên suốt khóa kèm đáp án và hướng dẫn giải chi tiết. Tham khảo ngay bên dưới!