Nếu bạn muốn chia hai số trong Google Sheets (hoặc hai ô có các số), thì có một số cách để thực hiện công việc này.
Thực hiện phép chia trong Google Sheets là một công việc thường xuyên và nó có hẳn một hàm được tích hợp sẵn cho phép bạn chia hai số hoặc các số nằm trong hai ô. Đó là hàm DIVIDE.
Giả sử bạn muốn chia giá trị trong ô A1 với giá trị trong ô B1. Bạn có thể sử dụng hàm CHIA dưới đây để thực hiện việc này:
= DIVIDE(A1,B1)

Trong công thức trên, đối số đầu tiên là số bị chia (số phải chia) và số bị chia (số cần chia)
Trong công thức trên chúng ta đang sử dụng các tham chiếu ô, nhưng bạn cũng có thể nhập trực tiếp các giá trị cần thực hiện phép chia vào công thức. Ví dụ: bạn cũng có thể sử dụng công thức dưới đây:
= DIVIDE(1200,15)
Ưu điểm của việc sử dụng tham chiếu ô là kết quả công thức của bạn trở nên động. Điều này có nghĩa là trong trường hợp thay đổi giá trị trong ô A1 hoặc B1, công thức sẽ tự động cập nhật.
Ngoài ra, hãy nhớ rằng số chia không thể là số 0. Trong trường hợp số chia của bạn là 0 thì sẽ gặp lỗi phép chia - #DIV/0.
Xem thêm: Hướng dẫn các phép toán trong VBA: Phép nhân, phép chia, phép cộng, mô đun
Một cách nhanh chóng khác để chia các số trong Google Sheets là sử dụng toán tử chia - dấu gạch chéo (/)
Giả sử bạn có dữ liệu như hình dưới đây và muốn chia giá trị trong ô A1 với giá trị trong ô B1. Bạn có thể sử dụng phương trình dưới đây để thực hiện việc này:
=A1/B1

Và trong trường hợp bạn muốn chia nhanh các số (thay vì tham chiếu ô), cũng có thể làm điều đó với trực tiếp các giá trị cần tính (như được hiển thị trong công thức bên dưới):
=1200/15
Thứ tự ưu tiên khi thực hiện phép chia các ô trong Google Sheets
Một điều quan trọng cần biết khi sử dụng các toán tử số học (chẳng hạn như phép chia hoặc phép nhân) trong Google Sheets là thứ tự ưu tiên. Hãy để Gitiho giải thích điều này bằng một ví dụ.
Giả sử bạn sử dụng công thức dưới đây:
=1200/15+15
Bạn có đoán được kết quả sẽ như thế nào không? Đó sẽ là 95.

Điều này xảy ra vì có một thứ tự ưu tiên trong Google Sheets, nơi phép chia được thực hiện trước tiên. Do đó, đầu tiên nó chia 1200 cho 15 trong đó kết quả là 80. Sau đó, cộng 15 vào kết quả này cho bạn kết quả tổng là 95.
Theo như công thức trên thì khá là đơn giản để hiểu quy luật đó, nhưng điều này có thể dẫn đến các vấn đề khi làm việc với các công thức phức tạp lớn.
Trong những trường hợp như vậy, tốt nhất bạn đừng lo lắng về thứ tự ưu tiên vì có thể xử lý bằng cách đặt các phép tính trong các dấu ngoặc.
Ví dụ: Trong trường hợp trước tiên bạn muốn thực hiện phép cộng và sau đó là phép chia thì có thể sử dụng công thức dưới đây:
=1200/(15+15)
Kết quả trả về sẽ là 40 (=1200/30)

Trong các tình huống thực tế, bạn sẽ không muốn mở Google Sheets để thực hiện các phép chia đơn giản. Vì có thể dễ dàng thực hiện điều đó bằng cách sử dụng máy tính trên điện thoại thông minh của mình hoặc với Google Search đơn giản.
Nơi bạn có thể sử dụng Google Sheets để thực hiện là nhanh chóng chia số thành các cột và lấy kết quả cho hàng trăm ô trong một giây.
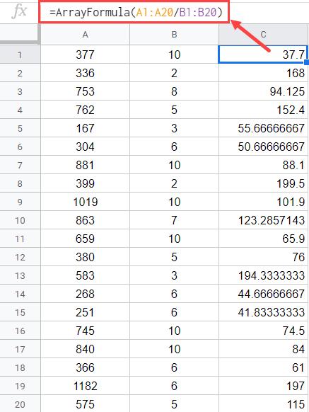
Ví dụ: Giả sử bạn có tập dữ liệu như hình dưới đây và muốn tính phép chia khi giá trị trong cột A được chia cho ô tương ứng trong cột B

Dưới đây là công thức sẽ thực hiện điều này:
= ArrayFormula(A1:A20/B1:B20)

Vì đây là công thức mảng nên bạn chỉ cần nhập công thức này vào ô C1 mà thôi, nó sẽ cho bạn kết quả như hình trên.
Ngoài ra, bạn không thể xóa hoặc chỉnh sửa một phần của mảng. Tuy nhiên, có thể xóa toàn bộ mảng bằng cách xóa nội dung trong ô C1.
Giả sử bạn có tập dữ liệu như hình bên dưới và muốn chia giá trị trong cột A với giá trị trong cột B.

Nếu thực hiện phép chia như trong các phần trước, bạn sẽ nhận được phần nguyên cũng như phần thập phân.
Trong trường hợp không muốn bất kỳ phần dư nào khi các giá trị này được chia (trong đó phần còn lại là phần thập phân), bạn có thể sử dụng công thức dưới đây:
= ArrayFormula(INT(A1:A20/B1:B20))

Công thức trên sử dụng cùng một công thức chia nhưng bao bọc trong hàm INT, hàm này sẽ chỉ trả về phần nguyên của kết quả chứ không phải phần thập phân.
Trên đây Gitiho vừa hướng dẫn các bạn một số có thể sử dụng để thực hiện phép chia trong Google Sheets. Dựa trên công việc bạn muốn chia số, chia ô hay chia cột, có thể chọn sử dụng hàm DIVIDE hoặc toán tử chia.
Gitiho đã cho ra mắt khóa học Google Sheets từ Cơ bản đến Nâng cao, công cụ thay thế Excel giúp bạn hoàn toàn có thể tự tin phân tích và xử lý dữ liệu trên Google Sheet, lập bảng biểu, báo cáo trực quan và hơn thế nữa. Bấm vào để học thử ngay!