Chi phí vốn bình quân gia quyền là yếu tố được sử dụng phổ biến trong Mô hình tài chính dạng Mô hình chiết khấu dòng tiền (DCF model) nói riêng và việc định giá doanh nghiệp nói chung. Khi sử dụng mô hình chiết khấu để xác định giá trị của dòng tiền trong tương lai tại hiện tại, ta sẽ sử dụng tỷ suất chiết khấu là giá trị của chi phí vốn bình quân gia quyền.
Chi phí vốn bình quân gia quyền – Weighted Average Cost of Capital (WACC) là gì
Chi phí vốn là gì?
Doanh nghiệp/ Dự án huy động vốn để hoạt động từ 2 đối tượng là vốn chủ sở hữu từ nhà đầu tư/ cổ đông và vốn vay từ người cho vay/ tổ chức tín dụng. Khi tài trợ cho doanh nghiệp/ dự án, 2 đối tượng này (nhà đầu tư và người cho vay) sẽ yêu cầu tỷ suất lợi nhuận kỳ vọng (lợi suất) từ việc họ cung cấp vốn. Vì thế mà lợi suất này chính là chi phí vốn của doanh nghiệp, phải trả cho nhà đầu tư (chi phí vốn chủ sở hữu hay chi phí vốn cổ phần) và phải trả cho người cho vay (chi phí vốn vay).
Chi phí vốn bình quân gia quyền WACC
Ví dụ đơn giản là trong trường hợp dự án huy động vốn 50% từ ngân hàng, 50% từ nhà đầu tư. Nếu ngân hàng đòi khoản lợi suất (lãi suất cho vay) là 8%, nhà đầu tư yêu cầu lợi suất đầu tư là 16% (thường phải cao hơn lãi suất cho vay nhiều họ mới đầu tư, không thì họ đã lựa chọn gửi ngân hàng). Khi đó lợi suất yêu cầu của dự án có giá trị trung bình là (8%+16%)/2=12%. Đây chính là chi phí vốn trung bình của dự án là 12%.
Trong trường hợp tỷ lệ huy động vốn chủ sở hữu và vốn vay khác nhau (30/70) hoặc (40/60) thay vì 50/50 như ví dụ trên. Ta sử dụng khái niệm chung cho chi phí vốn là chi phí vốn bình quân gia quyền thay vì chỉ là chi phí vốn trung bình.
Áp dụng chi phí vốn bình quân gia quyền
Chi phí vốn bình quân gia quyền được sử dụng trong chiết khấu dòng tiền. Nó là tỷ lệ chiết khấu sử dụng trong việc lập mô hình tài chính, để chuyển dòng tiền thu nhập dự kiến thu được trong tương lai về giá trị hiện tại của nó để xác định giá trị hiện ròng của một doanh nghiệp hay một khoản đầu tư. Qua việc định giá được giá trị khoản đầu tư, ta so sánh được giá trị đầu tư với giá trị thực của khoản thu nhập tạo ra là cao hay thấp và từ đó quyết định có đầu tư hay không.
Ở một khía cạnh khác, WACC là chi phí vốn của dự án tức là dự án cần tạo ra tỷ suất lợi nhuận tối thiểu phải bằng WACC. Ví dụ với chi phí vốn WACC là 12% như trên, dự án tạo ra lợi suất 17% nghĩa là nó tạo ra giá trị tăng thêm 5%. Nếu dự án tạo ra lợi suất thấp hơn 12% thì không nên đầu tư.
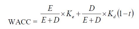
Công thức tính chi phí vốn bình quân gia quyền WACC
Công thức tính toán WACC được xác định như sau:

Trong đó:
WACC : Chi phí vốn bình quân gia quyền
Ke : Chi phí vốn chủ sở hữu/ vốn cổ phần
Kd : Chi phí vốn vay
E : Giá trị vốn chủ sở hữu/ vốn cổ phần
D : Giá trị vốn vay
t : Thuế suất thuế thu nhập doanh nghiệp
Tỷ lệ E/(E+D), D/(E+D) được gọi là cấu trúc vốn (capital structure) của doanh nghiệp/ dự án
Cách tính toán dữ liệu
Trong đó:
Bạn là một nhà quản lý doanh nghiệp, quản lý tài chính, nhà đầu tư hay các chuyên gia tài chính,... nhưng chưa có nhiều kinh nghiệm trong phân tích và xây dựng mô hình Tài chính?
Bạn sẽ không cần phải mất nhiều thời gian nghiền ngẫm, hay phải bỏ một số tiền lớn để trả cho những chuyên gia phân tích báo cáo tài chính thuê ngoài. Hãy Đăng ký tham gia và Học thử để trải nghiệm nhé!