Cách tính khấu hao tài sản cố định bằng phương pháp khấu hao đường thẳng là phương pháp vô cùng dễ hiểu, dễ thực hiện và được áp dụng rất nhiều trong các cơ quan kinh doanh. Trong bài viết này Gitiho sẽ cùng các bạn tìm hiểu rõ các nội dung cũng như cách tính khấu hao đường thẳng trong những trường hợp thực tế mà rất có thể bạn sẽ gặp trong tương lai.
Bên cạnh cách tính tài sản cố định (TSCĐ) đúng, thì chúng ta cũng phải tuân theo quy định trong thông tư Thông tư 45/2013/TT-BTC hướng dẫn chế độ quản lý, sử dụng và trích khấu hao tài sản cố định ban hành ngày 25 tháng 04 năm 2013.
Phân tích Báo cáo tài chính toàn tập
Nội dung chính
Phương pháp khấu hao đường thẳng là phương pháp để tính trích khấu hao theo mức ổn định theo chu kỳ từng năm vào chi phí sản xuất kinh doanh của doanh nghiệp của tài sản cố định tham gia vào hoạt động kinh doanh.
Nếu như doanh nghiệp tăng trưởng kinh doanh và đạt kết quả kinh tế cao thì sẽ được hưởng khấu hao nhanh nhưng sẽ không quá 2 lần mức khấu hao xác định theo phương pháp đường thẳng để có thể nhanh chóng đổi mới công nghệ. Quy định về tài sản cố định được trích khấu hao nhanh bao gồm: máy móc, thiết bị, dụng cụ làm việc đo lường, thí nghiệm, thiết bị và phương tiện vận tải, dụng cụ quản lý, súc vật, vườn cây lâu năm.
Như đã nói trên, để được khấu hao nhanh thì doanh nghiệp phải đảm bảo kinh doanh có lãi. Phụ lục 1 theo thông tư Thông tư 45/2013/TT-BTC cũng nói thêm rằng khi doanh nghiệp trích khấu hao quá 2 lần quy định sẽ không được tính vào chi phí hợp lý khi tính thuế thu nhập trong kỳ.
Phương pháp đường thẳng để tính khấu hao TSCĐ sẽ được dùng như sau.
Bước 1: Xác định mức trích khấu hao tài sản trong năm.

Bước 2: Mức trích khấu hao của hàng tháng bằng với số khấu hao trích cho cả năm và chia cho 12 tháng.
Trong trường hợp này, kế toán phải xác định được mức trích khấu hao trung bình của TSCĐ.

Cách xác định là hiệu số giữa nguyên TSCĐ và số khấu hao luỹ kế đã thực hiện đến năm trước năm cuối cùng của tài sản cố định đó.

Xem thêm: Hướng dẫn cách tính khấu hao TSCĐ theo phương pháp khấu hao theo số lượng, khối lượng sản phẩm
Xác định mức trích khấu hao theo cách sau:
- Với cách xác định này phải dựa trên số liệu kế toán, hồ sơ của TSCĐ để xác định được chính xác giá trị còn lại trên sổ kế toán của TSCĐ.
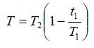
- Xác định thời gian trích khấu hao còn lại của TSCĐ theo công thức sau.

Bao gồm:
T: thời gian khấu hao còn lại của TSCĐ.
T1: Thời gian trích khấu hao ban đầu của TSCĐ xác định theo Phụ Lục 1 ban hành kèm theo Thông tư 45/2013/TT-BTC.
T2: Thời gian trích khấu hao theo đánh giá lại của tài sản cố định xác định theo quy định tại Phụ lục 1 ban hành kèm theo Thông tư số 45/2013/TT-BTC.
t1 : Thời gian thực tế đã trích khấu hao của tài sản cố định
- Công thức tính mức trích khấu hao hàng năm của TSCĐ cho các năm còn lại:

- Mức trích khấu hao trung bình hàng tháng phải bằng với số khấu hao phải trích cả năm chia cho 12 tháng.
Công ty A mua một thiết bị sản xuất có giá trên hoá đơn là 129 triệu đồng, chiết khấu mua hàng là 5 triệu đồng, chi phí vận chuyển là 2.5 triệu đồng, chi phí lắp đặt chạy thử là 2 triệu đồng.
a) TSCĐ này có tuổi thọ kỹ thuật là 12 năm, thời gian trích khấu hao TSCĐ mà doanh nghiệp dự tính là 10 năm ( đúng theo Phụ lục 1 ban hành kèm theo Thông tư số 45/2013/TT- BTC) và sẽ đưa thiết bị này vào sử dụng ngày 1/1/2021.
- Nguyên giá TSCĐ:
129 triệu - 5 triệu + 2.5 triệu + 2 triệu = 128.5 triệu
- Mức trích khấu hao trung bình hàng năm.
128.5 triệu : 10 năm = 12.85 triệu/năm
- Trích khấu hao trung bình hàng tháng:
12.85 triệu : 12 tháng = 1.070 triệu/tháng
=> Hàng năm doanh nghiệp sẽ phải trích 12.85 triệu chi phí khấu hao TSCĐ vào chi phí kinh doanh.
b) Sau 5 năm sử dụng thì doanh nghiệp đã nâng cấp thêm cho thiết bị này với tổng chi phí là 35 triệu đồng và xác định lại thời gian sử dụng được thêm 1 năm nữa (tức 6 năm). Ngày hoàn thành để đưa vào sử dụng là 01/01/2026.
- Nguyên giá TSCĐ sau khi nâng cấp:
129 triệu + 35 triệu = 164 triệu.
- Số khấu hao luỹ kế đã trích:
12.85 triệu x 5 năm = 64.25 triệu
- Giá trị còn lại trên sổ kế toán:
164 triệu - 64.25 triệu = 99.75 triệu.
- Mức trích khấu hao hàng năm:
99.75 triệu : 6 năm = 16.625 triệu/năm
- Mức trích trung bình cho hàng tháng.
16.625 triệu : 12 tháng = 1.385 triệu / tháng.
Tính từ năm 2026 trở đi thì doanh nghiệp trích khấu hao chi phí kinh doanh mỗi tháng là 1.385 triệu đối với thiết bị TSCĐ được nâng cấp.
Xem thêm: Hướng dẫn lập Bảng tính và phân bổ khấu hao TSCĐ theo Thông tư 133 trên Excel
Trong bài viết trên, Gitiho đã hướng dẫn bạn cách đơn giản nhất để tính khấu hao tài sản cố định theo phương pháp khấu hao đường thẳng. Chúc bạn áp dụng thành công trong công việc của mình và đừng quên theo dõi chúng mình để xem thêm các bài viết hữu ích nhé!
Nhận tư vấn và đăng ký khóa học ở đây.
Bài viết tham khảo khác:
Hướng dẫn cách tính Chi phí vốn bình quân gia quyền (WACC)
LÃI SUẤT VÀ DÒNG TIỀN – Phân Tích Tài Chính Doanh Nghiệp Cơ bản (Phần 1)
Cách tính tuổi nghỉ hưu theo lộ trình mới nhất 2021
MÔ HÌNH TÀI CHÍNH LÀ GÌ? CÁCH XÂY DỰNG MÔ HÌNH TÀI CHÍNH (PHẦN 1)
Chuyển đổi Báo cáo tài chính IFRS từ VAS